✅️ Адвокат по кредитах та МФО – 100% допомога!!Детальніше
Розмір шрифту
Колір фону та шрифту
Изображения
Озвучивание текста
Обычная версия сайта
Юридична компанія
+38-099-0000-778
+38-099-0000-778Київ
+38-099-0000-771Ужгород
Замовити дзвінок
E-mail
info@lex-legal.com.ua
Адреса
Київ, вул. Болсунівська 13-15
Режим роботи
Пн. – Пт.: з 9:00 до 18:00
Подати заявку
Послуги
  • Фізичним особам
    • Адвокат по 130 статті КУпАП
    • Адвокат з аліментів
    • Адвокат зі стягнення боргів
    • Адвокат по ДТП
    • Адвокат з житлових питань
    • Адвокат по кредитах
    • Адвокат з наркотиків
    • Адвокат по спадщині
    • Адвокат по пенсійним справам
    • Адвокат по розподілу майна
    • Адвокатський запит
    • Адміністративні спори
    • Банкрутство
    • Військовий юрист
    • Цивільні справи
    • Запит в систему SIS
    • Захист права власності
    • Позбавлення батьківських прав
    • Медіація
    • Податковий юрист
    • Спадкові спори
    • Оскарження заповіту
    • Подання клопотання
    • Преміальне юридичне обслуговування
    • Розлучення «під ключ»
    • Поділ майна при розлученні
    • Розірвання шлюбного договору
    • Сімейні суперечки
    • Складання договорів та інших правових документів
    • Довідка про несудимість з Угорщини
    • Трудове право
    • Кримінальні справи
    • Узаконення самочинного будівництва
    • Зменшення розміру аліментів
    • Послуги адвоката з розлучення
    • Участь в угодах
    • Юридична консультація
    • Юридична допомога з медичних питань
    • Юрист з нерухомості
  • Юридичним особам
    • ІТ юрист
    • Абонентське обслуговування
    • Банкрутство
    • Захист інтелектуальної власності
    • Корпоративні спори
    • Ліцензія на медичну практику
    • Первинна консультація
    • Супровід угод, складання правових документів
    • Спори з державними органами
    • Будівельні суперечки
    • Митні суперечки
    • Тендерний супровід
    • Юрист по земельним питанням
    • Реєстраційні послуги
    • Реєстрація ТОВ
    • Ліквідація ТОВ
    • Продаж частки в ТОВ
Практика
  • Абонентське обслуговування
  • Адміністративні правопорушення
  • Військові справи
  • Цивільні справи
  • Земельні справи
  • Комунальне право
  • Медіація
  • Міграційне законодавство
  • Сімейні справи
  • Вчинення нотаріальних дій
  • Митні суперечки
  • Кримінальне право
Про нас
  • Про компанію
  • Команда
  • Клієнти та партнери
  • Відгуки
  • Питання-відповідь
  • Співпраця
Контакти
ua
ru
ua
Юридична компанія
  • Відгуки
  • Клієнти та партнери
  • Питання-відповідь
  • Зразки документів
  • Блог
  • ...
    +38-099-0000-778
    +38-099-0000-778Київ
    +38-099-0000-771Ужгород
    Замовити дзвінок
    E-mail
    info@lex-legal.com.ua
    Адреса
    Київ, вул. Болсунівська 13-15
    Режим роботи
    Пн. – Пт.: з 9:00 до 18:00
    Замовити дзвінок
    ua
    ru
    ua
    Послуги
    • Фізичним особам
      • Адвокат по 130 статті КУпАП
      • Адвокат з аліментів
      • Адвокат зі стягнення боргів
      • Адвокат по ДТП
      • Адвокат з житлових питань
      • Адвокат по кредитах
      • Адвокат з наркотиків
      • Адвокат по спадщині
      • Адвокат по пенсійним справам
      • Адвокат по розподілу майна
      • Адвокатський запит
      • Адміністративні спори
      • Банкрутство
      • Військовий юрист
      • Цивільні справи
      • Запит в систему SIS
      • Захист права власності
      • Позбавлення батьківських прав
      • Медіація
      • Податковий юрист
      • Спадкові спори
      • Оскарження заповіту
      • Подання клопотання
      • Преміальне юридичне обслуговування
      • Розлучення «під ключ»
      • Поділ майна при розлученні
      • Розірвання шлюбного договору
      • Сімейні суперечки
      • Складання договорів та інших правових документів
      • Довідка про несудимість з Угорщини
      • Трудове право
      • Кримінальні справи
      • Узаконення самочинного будівництва
      • Зменшення розміру аліментів
      • Послуги адвоката з розлучення
      • Участь в угодах
      • Юридична консультація
      • Юридична допомога з медичних питань
      • Юрист з нерухомості
      • Ще
    • Юридичним особам
      • ІТ юрист
      • Абонентське обслуговування
      • Банкрутство
      • Захист інтелектуальної власності
      • Корпоративні спори
      • Ліцензія на медичну практику
      • Первинна консультація
      • Супровід угод, складання правових документів
      • Спори з державними органами
      • Будівельні суперечки
      • Митні суперечки
      • Тендерний супровід
      • Юрист по земельним питанням
      • Реєстраційні послуги
      • Реєстрація ТОВ
      • Ліквідація ТОВ
      • Продаж частки в ТОВ
      • Ще
    Практика
    • Абонентське обслуговування
    • Адміністративні правопорушення
    • Військові справи
    • Цивільні справи
    • Земельні справи
    • Комунальне право
    • Медіація
    • Міграційне законодавство
    • Сімейні справи
    • Вчинення нотаріальних дій
    • Митні суперечки
    • Кримінальне право
    Про нас
    • Про компанію
    • Команда
    • Клієнти та партнери
    • Відгуки
    • Питання-відповідь
    • Співпраця
    Контакти
      Телефони
      +38-099-0000-778 Київ
      +38-099-0000-771 Ужгород
      Замовити дзвінок
      • ua
        • Мова
        • ua
        • ru
      • Послуги
        • Послуги
        • Фізичним особам
          • Фізичним особам
          • Адвокат по 130 статті КУпАП
          • Адвокат з аліментів
          • Адвокат зі стягнення боргів
          • Адвокат по ДТП
          • Адвокат з житлових питань
          • Адвокат по кредитах
          • Адвокат з наркотиків
          • Адвокат по спадщині
          • Адвокат по пенсійним справам
          • Адвокат по розподілу майна
          • Адвокатський запит
          • Адміністративні спори
          • Банкрутство
          • Військовий юрист
          • Цивільні справи
          • Запит в систему SIS
          • Захист права власності
          • Позбавлення батьківських прав
          • Медіація
          • Податковий юрист
          • Спадкові спори
          • Оскарження заповіту
          • Подання клопотання
          • Преміальне юридичне обслуговування
          • Розлучення «під ключ»
          • Поділ майна при розлученні
          • Розірвання шлюбного договору
          • Сімейні суперечки
          • Складання договорів та інших правових документів
          • Довідка про несудимість з Угорщини
          • Трудове право
          • Кримінальні справи
          • Узаконення самочинного будівництва
          • Зменшення розміру аліментів
          • Послуги адвоката з розлучення
          • Участь в угодах
          • Юридична консультація
          • Юридична допомога з медичних питань
          • Юрист з нерухомості
        • Юридичним особам
          • Юридичним особам
          • ІТ юрист
          • Абонентське обслуговування
          • Банкрутство
          • Захист інтелектуальної власності
          • Корпоративні спори
          • Ліцензія на медичну практику
          • Первинна консультація
          • Супровід угод, складання правових документів
          • Спори з державними органами
          • Будівельні суперечки
          • Митні суперечки
          • Тендерний супровід
          • Юрист по земельним питанням
          • Реєстраційні послуги
          • Реєстрація ТОВ
          • Ліквідація ТОВ
          • Продаж частки в ТОВ
      • Практика
        • Практика
        • Абонентське обслуговування
        • Адміністративні правопорушення
        • Військові справи
        • Цивільні справи
        • Земельні справи
        • Комунальне право
        • Медіація
        • Міграційне законодавство
        • Сімейні справи
        • Вчинення нотаріальних дій
        • Митні суперечки
        • Кримінальне право
      • Про нас
        • Про нас
        • Про компанію
        • Команда
        • Клієнти та партнери
        • Відгуки
        • Питання-відповідь
        • Співпраця
      • Контакти
      • +38-099-0000-778 Київ
        • Телефони
        • +38-099-0000-778 Київ
        • +38-099-0000-771 Ужгород
        • Замовити дзвінок
      • Київ, вул. Болсунівська 13-15
      • info@lex-legal.com.ua
      • Пн. – Пт.: з 9:00 до 18:00
      Головна
      —
      Практика
      —
      Судова практика по військовим справам

      Рапорт на переведення з ДШВ до тилу

      Оформіть заявку – ми зв'яжемося з вами найближчим часом і відповімо на всі запитання.
      Схожа проблема?
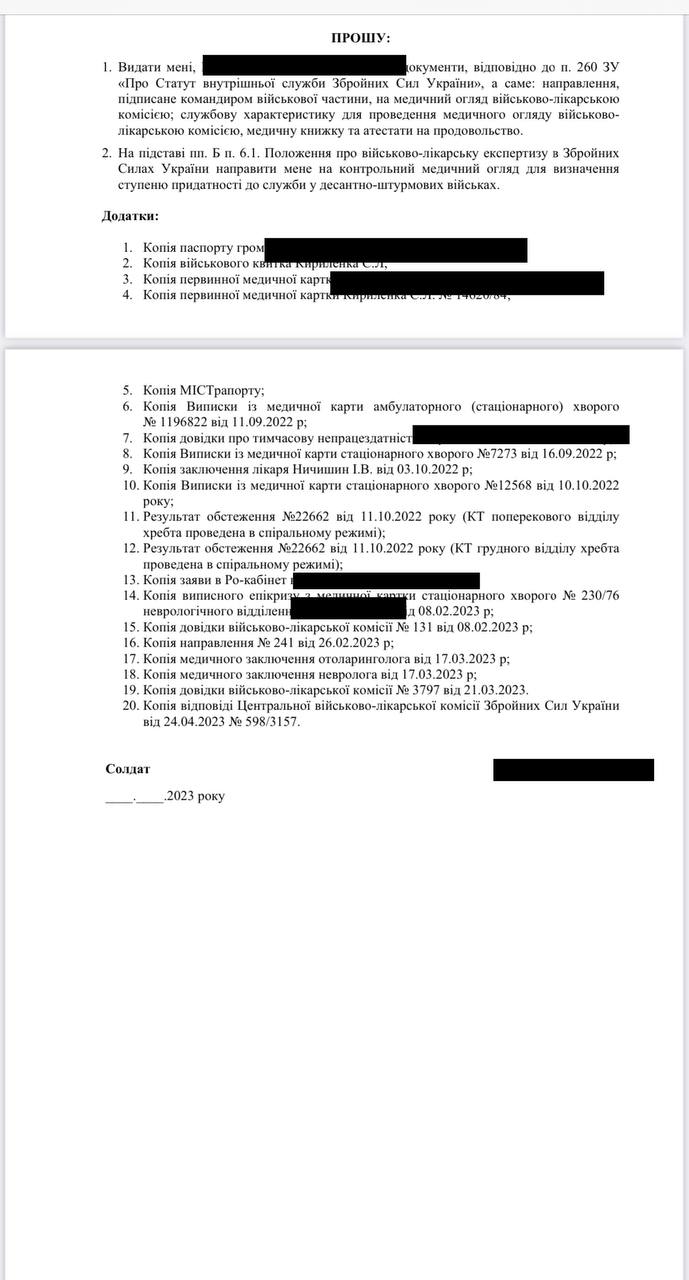
      Підготовка рапорту нашого клієнта щодо неможливості проходження військової служби в одних військових підрозділах (ДШВ) та переведення в інший військовий підрозділ …в тил.
      Послуги
      Юридична консультація
      Військовий юрист
      Документи
      Рапорт (ст.1)
      159,2 Кб
      Рапорт (ст.2)
      177 Кб
      Рапорт (ст.3)
      80,6 Кб
      Назад до списку


      Відгуки клієнтів

      Рейтинг
      4.7
      30 відгуків
      12 листопада 2025
      Маргарита Тульська

      Все сподобалось, осталась задоволена, буду звертатись ще

      11 вересня 2025
      Roman Khlibun

      Звернувся з проблемою і необхідністю отримати правову позицію. Все було зроблено дуже швидко і якісно, проблематику було дуже доступно роз'яснено мені як людині без юридичної освіти. Справило враження що до мого кейсу долучився...

      Детальніше
      6 лютого 2026
      Тарас Осадчий

      Серйозна адвокатська фірма, що надає якісні юридичні послуги, шкодую про те, що не знав про цю фірму та не звернувся раніше. Завдяки фірмі отримав нарешті відстрочку на яку мав право,  але самостійно не зміг отримати з-за...

      Детальніше
      3 вересня 2025
      Vlad AI-lider

      Горват Іван порядна та надійна людина. З мого досвіду - завжди тримає слово і відповідально ставиться до будь-яких домовленостей. У спілкуванні відкритий і коректний, що викликає довіру та повагу.

      Детальніше
      13 серпня 2025
      galina karakyla

      Спілкуючись з керівництвом відділу, була вражена обізнаністю заданим питанням. Дуже раджу. Команда професіоналів.

      28 липня 2025
      Vitaliy Trimasoff

      Користуюсь послугами цієї фірми,дуже задоволений,раджу,звертайтесь!

      26 липня 2025
      Roland Tseber

      Швидка, професійна та якісна юридична допомога.Дякую

      1 липня 2025
      Oleg Dudchenko

      Хороша юридична компанія, допомагали в різний час мені і моєму колезі по роботі вирішити питання з ТЦК. Обидва рази успішно.
      Дуже подобається як вони комунікують, це завжди швидка і приємна комунікація. В екстрених ситуаціях вона ...

      Детальніше
      13 червня 2025
      Natali FL

      Дякую компанії Lex-Legal за надану допомогу та Ярославу, фахівця у сфері митних справ. Все було швидко та професійно.

      10 червня 2025
      Michael Business

      Хочу щиро подякувати команді LEX LEGAL за професіоналізм, людяність та результат.

      Моя справа була непростою — колектори намагались стягнути значну суму, однак завдяки грамотній юридичній позиції, підготовці документів та впевненій...

      Детальніше
      21 травня 2025
      Юлія Лісова

      Дуже задоволена роботою Lex Legal, тоді коли більшість адвокатів, щодо мого питання розводили руками і казали, у Вас немає доказів, Ви нічим не до доведете, звертайтесь в Поліцію, але це буде довго по часу і не факт що буде результат,...

      Детальніше
      5 травня 2025
      Алла Мартинюк

      Консультувались з чоловіком у адвоката Горват Івана Івановича з приводу укладення інвестиційних договорів в будівництві житла. Вважаємо, що зробили вірно, що звернулися за допомогою у цьому питанні до адвоката, тому що ця сфера до...

      Детальніше
      11 березня 2025
      Світа Світлана

      Справжня команда професіоналів. Справу виграли, як і обіцяли.
      Дякую!

      23 січня 2025
      Dimitry Tarasenkov

      Хочу подякувати Іванові та його команді за швидку допомогу та професіоналізм.
      Рекомендую однозначно.
      Окрем хочеться відмітити спеціаліста Ярослава, який реагував на кожну подію в моїй справі.

      Детальніше
      23 січня 2025
      Марина Тарасенкова

      В моєму житті сталася непроста ситуація,    і я змушена була звернутися за професійною юридичною допомогою. Мого сина затримали працівники тцк, утримували, погрожувати та примушували пройти влк. За лічені хвили...

      Детальніше
      17 січня 2025
      Дмитро Давиденко

      Звернувся ввечері з питанням щодо NDA, навіть не очікував швидкої відповіді — ну, хто взагалі реагує на такі звернення після шостої вечора, правда? Але, на мій подив, не просто відповіли швидко, а ще й дуже детально пояснили всі нюанси....

      Детальніше
      2 квітня 2024
      Диана Плескач

      Дякую Івану за професійний підхід !Вирішив питання швидко ,не дійшла справа навіть до суду !Рекомендую тим,хто вже не бачить виходу !

      Детальніше
      18 жовтня 2023
      Eugene K

      Якість обслуговування на високому рівні. Професіоналізм та прозорість у будь якому питанні. Люди хороші та добрі. Рекомендую.

      9 листопада 2023
      Виталий Виталий

      Вперше звернувся до компанії Lex Legal, а саме, до Ксенії Кондратюк, яка супроводжувала на важливих етапах, завжди була на зв'язку для оперативної передачі інформації. Послуга була зроблена швидко і якісно. Фахівець у своїй пр...

      Детальніше
      16 грудня 2019
      Evgeniya Tar

      Доброго дня! Я проживаю в Італії. Декілька разів мені доводилося звертатися по допомогу до компанії LexLegal. Хочу зауважити що компанія надійна та серйозна, робота була виконана швидко та якісно.
      Рекомендую також тим, хто знаходиться...

      Детальніше
      24 січня 2022
      Геннадий Щериля

      Дуже класні фахівці.Чесно, оперативно та професійно працюють. Дуже вдячний всій команді, особливо Горвату Івану Івановичу!!!

      23 лютого 2022
      Лилия Смирнова

      Професійність-- однозначно висока.А що ще найбільше  цінують клієнти ? Звичайно ж поміркованість , людяність  і щире бажання допомогти. Ось якраз це і допомогло мені саме тут швидко і досить успішно вирішити мо...

      Детальніше
      8 травня 2023
      Мир Фильмов

      Дякую, за якісну зроблену роботу у вирішенні військового питання.

      8 травня 2023
      Bio7ech

      Дякую за вирішення військового питання.

      8 травня 2023
      Yana Sorokolit

      Спасибо большое компании "Lex Legal" за оперативное решение моего вопроса. Юристы сделали все быстро, информировали о каждом процессуальном действии. Обязательно обращусь еще!

      Детальніше
      11 травня 2023
      Myroslava Skyba

      Рекомендую Івана Івановича з власного досвіду! Можу з впевненістю сказати, що він не просто найкращий адвокат, а і чудова людина. Не дивлячися на мою складну ситуацію, яка склалася в житті, він завжди підходив до справи професійно,...

      Детальніше
      19 травня 2023
      Slimm Kidd Production

      Дуже задоволений роботою Lex Legal. 4 роки назад потрапив у вкрай неприємну та досить важку ситуацію. І по рекомендації знайомої звернулись саме до них. І хочу сказати, що якби не вони, то один лиш Бог знає де б я зараз був. Насті...

      Детальніше
      24 липня 2023
      Kostya Kray

      Звернувся до команди Lex Legal, у терміновому питанні щодо мобілізації і неправомірних дій ТЦК.
      Дякую велике Івану і Тетяні за допомогу і позитивне рішення проблеми.
      І за те що навіть у вихідний, і дуже короткий термін, бо потрібна...

      Детальніше
      11 вересня 2023
      Вадим Павлов

      Доброго дня, Бажаю Здоровь'я Враховуючи що Я На Лікорнняному ліжку вже цілий рік лікукуюся і тіки мое общеніе с ціею Юридичною компаніей та Адвокатами у телефононому режимі , я усіим задовільний і Особисто Вдячний кіривнику ко...

      Детальніше
      27 вересня 2023
      Vitalii Huzun

      Мати свого Адвоката.
      Це була моя багата мрія, взята з прочитаних книжок.
      Коли читав книжки, знав що це не реально.
      Але Бог мене почув.
      Мрія збулась.
      (Врятували сина, в другій справі-шахрая наказали. В третій справі-нахабу безцеремонного...

      Детальніше
      • Абонентське обслуговування
      • Адміністративні правопорушення
      • Військові справи
      • Цивільні справи
      • Земельні справи
      • Комунальне право
      • Медіація
      • Міграційне законодавство
      • Сімейні справи
      • Вчинення нотаріальних дій
      • Митні суперечки
      • Кримінальне право
      Наші фахівці дадуть відповідь на будь-яке запитання щодо проекту
      Задати питання
      Послуги
      Військовий юрист
      Розлучення «під ключ»
      Стягнення аліментів
      Митні суперечки
      Адвокатський запит
      Супровід банкрутства
      Адвокат з розлучень
      Позбавлення батьківських прав
      Розподіл майна
      Банкрутство юридичних осіб
      Практика
      Абонентське обслуговування
      Адміністративні правопорушення
      Військові справи
      Цивільні справи
      Земельні справи
      Комунальне право
      Медіація
      Міграційне законодавство
      Сімейні справи
      Вчинення нотаріальних дій
      Митні суперечки
      Кримінальне право
      Про нас
      Про компанію
      Команда
      Клієнти та партнери
      Відгуки
      Питання-відповідь
      Співпраця
      Ціни
      Контакти
      Зразки документів
      Медіація
      +38-099-0000-778
      +38-099-0000-778Київ
      +38-099-0000-771Ужгород
      Замовити дзвінок
      E-mail
      info@lex-legal.com.ua
      Адреса
      Київ, вул. Болсунівська 13-15
      Режим роботи
      Пн. – Пт.: з 9:00 до 18:00
      Замовити дзвінок
      info@lex-legal.com.ua
      Київ, вул. Болсунівська 13-15
      © 2008-2026 Юридична компанія Lex Legal
      ua
      ru
      ua
      Розроблено в